Визначаємо чисельність служби охорони праці
На підприємстві з кількістю працівників 50 і більше роботодавець створює службу охорони праці відповідно до Типового положення про службу охорони праці, затвердженого наказом Держнаглядохоронпраці від 15.11.2004 № 255 (далі — Типове положення). Так скеровує стаття 15 Закону про охорону праці.
Визначення структури СОП та її чисельності
З одного боку, роботодавець має право самостійно визначати організаційну структуру, встановлювати кількість працівників і штатний розпис (ст. 64 Господарського кодексу України ). З другого — він повинен забезпечити здорові й безпечні умови праці та дієвий контроль за виконанням вимог нормативно-правових актів з охорони праці, зокрема й дотримуватися пункту 1.2 Типового положення.
Під час визначення структури СОП та її чисельності роботодавець повинен враховувати:
- специфіку виробництва та вид діяльності;
- кількість працівників, які працюють на підприємстві;
- умови праці й інші чинники.
Дистанційна й надомна робота: нові виклики для служби охорони праці
Отже, визначаючи кількість працівників СОП, роботодавець має обрати будь-яку методику розрахунку чисельності, яка має враховувати згадані критерії. Адже від цього залежить ефективність роботи СОП та її можливість у повному обсязі виконувати покладені на неї функції і завдання.
На які нормативні акти спиратися при визначенні чисельності СОП
Коли Держнаглядохоронпраці наказом від 03.08.1993 затверджував першу редакцію Типового положення, для допомоги роботодавцю щодо визначення чисельності СОП розробили Рекомендації щодо структури та чисельності служби охорони праці (далі — Рекомендації). Першу редакцію Типового положення Держнаглядохоронпраці скасував наказом від 15.11.2004 № 255. Проте Рекомендації не скасував, і вони наразі чинні.
Відповідно до цих Рекомендацій на підприємствах з кількістю працівників від 51 до 500 включно таку службу повинен представляти один спеціаліст з охорони праці з інженерно-технічною освітою. На підприємствах, де використовують вибухові матеріали або сильнодіючі отруйні речовини, в такій службі має бути два спеціаліста.
Стаття 15 Закону про охорону праці встановлює вимогу: керівників і спеціалістів СОП за своєю посадою та заробітною платою прирівнюють до керівників і спеціалістів основних виробничо-технічних служб.
Рекомендації роз’яснюють цю вимогу. Вони вказують, що за наявності на підприємстві інституту заступників керівника підприємства, керівника СОП, незалежно від кількості працівників, необхідно призначати на посаду заступника керівника підприємства (заступник генерального директора, директор тощо — залежно від структури підприємства).
Як розрахувати чисельність СОП
Чисельність СОП залежно від небезпечності та шкідливості виробництва на підприємствах з кількістю працівників понад 500 рекомендовано розраховувати за формулою:
Розглянемо на конкретних прикладах, як визначати чисельність СОП.
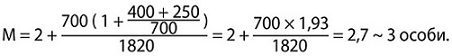
Приклад 1. На підприємстві працює 700 осіб, з них 400 — зі шкідливими речовинами та 250 — на роботах підвищеної небезпеки:
Приклад 2. На підприємстві працює 3000 осіб, з них 1500 — із шкідливими речовинами та 1000 — на роботах підвищеної небезпеки:


